合作客戶/
拜耳公司 |
同濟大學 |
聯合大學 |
美國保潔 |
美國強生 |
瑞士羅氏 |
相關新聞Info
推薦新聞Info
-
> 反離子鹽KBr濃度對酰胺基陽離子Gemini表面活性劑的表/界面活性的影響(二)
> 反離子鹽KBr濃度對酰胺基陽離子Gemini表面活性劑的表/界面活性的影響(一)
> 典型離子型與非離子型起泡劑的界面行為對泡沫性能的影響機制
> 新無氰白銅錫電鍍液及電鍍方法可降低表面張力,促進鍍液對復雜工件的潤濕
> 一種耐超高溫酸液體系、制備方法及其應用
> 納米滲吸驅油劑種類、降低界面張力和改變潤濕性的能力等機理研究(四)
> 復合驅中聚合物與陰離子表面活性劑的協同作用研究
> 化學組成對無堿鋁硼硅OLED基板玻璃表面張力的影響——結果、結論
> 化學組成對無堿鋁硼硅OLED基板玻璃表面張力的影響——摘要、實驗方法
> 納米滲吸驅油劑種類、降低界面張力和改變潤濕性的能力等機理研究(三)
烷基糖苷聚氧丙烯醚制備過程、表面張力、泡沫去污乳化性能測定——結果與討論、結論
來源:印染助劑 瀏覽 965 次 發布時間:2025-03-04
2結果與討論
2.1質譜
由圖1可以看出,m/z315表示單糖苷的C8烷基糖苷,m/z343表示單糖苷的C10烷基糖苷,m/z477與m/z315相差M(162),162表示一個葡萄糖脫掉一個水的相對分子質量,APG0810的分子質量組成分析如表1所示。
表1中,C8-1為8個碳的醇和1個葡萄糖反應生成的APG,以此類推,C10-5為10個碳的醇和5個葡萄糖反應生成的APG。APG加成PO后相對分子質量會增加58的倍數。例如,在APG0810PE-5樣品譜圖中,分子質量489為C8-1加成3個PO的產品,535為C8-2加成1個PO的產品,621為C10-2加成2個PO的產品,1 119為C10-4加成5個PO的產品。結果表明PO基團已經成功引入烷基糖苷分子中,具體分析數據如表2所示。
表2烷基糖苷聚氧丙烯醚相對分子質量
2.2表面活性劑的性能
2.2.1平衡表面張力
平衡表面張力揭示了表面活性劑降低溶劑(通常是水)表面張力的能力。表面活性劑的許多應用都與平衡表面張力有關,例如起泡作用、潤濕作用、鋪展作用等。圖2為APG0810PE-n和APG0810平衡表面張力隨著質量濃度變化的關系圖,圖3、圖4為APG1214PE-m和APG1214平衡表面張力隨著質量濃度變化的關系圖,相應的物化性能參數列于表3。
圖2 APG0810PE-n和APG0810表面張力隨質量濃度變化關系圖
圖3 APG1214PE-m和APG1214表面張力隨質量濃度變化關系圖
圖4 APG1214PE-m表面張力隨質量濃度變化關系圖
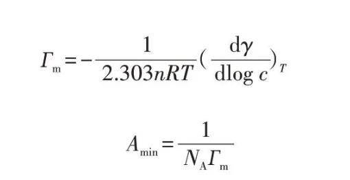
臨界膠束濃度(cmc)、在臨界膠束濃度處的表面張力(γcmc)、表面活性劑分子對氣/液界面的吸附進而形成表面活性劑膠束(cmc/C20)可以從圖2~圖4曲線中得到;分子在氣液界面上的最大飽和吸附量(Гm)和氣/液界面上單個表面活性劑分子所占的最小截面積(Amin)可以說明表面活性劑分子在氣/液界面上排列的疏密情況。Гm和Amin通過公式計算獲得:
其中:T表示絕對溫度,通常取298 K;R表示氣體常數,通常取8.314 J/(mol·K);NA表示阿伏加德羅常數,通常取6.022×1023;n也表示常數,對于離子表面活性劑n取2,對于非離子表面活性劑n取1;dγ/dlogc是指在恒溫情況下,表面張力γ隨表面活性劑濃度對數logc變化的變化率。
由表3可以看出,APG0810PE-n的cmc、γcmc、Amin均高于APG0810,且隨著PO添加量的增加而增大,PO基團的引入增加了分子的空間位阻以及被吸附分子在氣/液界面所占的面積。因此,Гm會隨之降低,并且隨著PO基團的增加降低得更明顯。同樣,對于APG1214PE-m也有相同的趨勢。
表3 APG0810PE-n、APG0810與APG1214PE-m、APG1214的物化參數
2.2.2潤濕性能
潤濕是人類生活與生產中的重要過程,例如機械潤滑、粘附、注水采油、洗滌、清洗、印染、焊接等液體直接接觸固體表面的過程皆與潤濕作用有密切關系。因此,潤濕性能是表面活性劑最重要的性能之一。在考慮潤濕性能時,潤濕速率是重要因素。采用動力學實驗測量帆布片的下沉時間,時間越短,潤濕性能越好。
由圖5可以看出,APG0810PE-n和APG1214PEm的潤濕時間隨著PO加合數的增加而減少。這是因為表面活性劑在濕潤帆布片時,PO基團的引入為分子提供疏水性,提高了分子與帆布片之間的疏水相互作用,促使分子易于吸附在帆布片表面,有利于潤濕。而APG1214和APG1214PE-m的潤濕時間比APG0810和APG0810PE-n長,說明隨著碳鏈增長,潤濕性能變差,這是因為分子長度增加打破了親水親油平衡狀態,不利于潤濕。
圖5各樣品的潤濕時間變化圖
2.2.3去污性能
污垢通過不同的相互作用力在物品表面附著,而應用表面活性劑去除的污垢一般是通過物理吸附(范德華力、偶極相互作用)或者靜電作用而附著于物品上。去污力是指將固體表面浸泡在一定的液體介質中去除污垢的能力,使用洗滌劑減少污垢在固體表面的附著量,利用機械力使污垢與固體表面分離。由圖6可以看出,無論是皮脂污布還是炭黑污布,制備的APG0810PE-n和APG1214PE-m的去污比值都低于對應的原料APG0810和APG1214,而且隨著PO加合數的增加而降低,可能是由于PO基團的引入使得分子的疏水性提高。但整體來看,PO改性APG獲得的產品去污性能仍處于較好的水平。
圖6各樣品去污力對比圖
2.2.4泡沫性能
泡沫是氣體在液體中的分散體系,氣體成為氣泡被連續相的液體分隔開,氣體是分散相,液體是分散介質。在大規模的洗滌和印染工業中,泡沫給操作帶來不便,因此新型的低泡表面活性劑越來越受關注。由表4可以看出,PO基團引入APG中明顯地降低了泡沫的形成和穩定性,而且在相同PO加合數下,APG0810變化更明顯,因此制備的系列樣品屬于低泡表面活性劑。
表4各樣品的泡沫體積變化
2.2.5乳化性能
在2種互不相溶的液體中,一種液體以微滴狀分散于另一種液體中形成的多相分散體系稱為乳液。雖然影響乳液穩定性的因素非常復雜,但是可以對界面膜的作用進行研究。乳液是否穩定與液滴間的聚集密切相關,而界面膜是聚集的必經之路。
由圖7可以看出,采用乳液破乳時間表征表面活性劑的油水界面性質,APG1214和APG1214PE-m乳化大豆油以及液體石蠟的能力勝于APG0810以及APG0810PE-n,而且隨著PO加合數的增加而提高。這是由于PO基團和烷基鏈增長提供了疏水性,增強了乳化劑分子的乳化能力,延長了破乳時間。此外,所有表面活性劑乳化大豆油的能力均明顯強于乳化液體石蠟,表明PO基團可能具有類似極性作用,可以增強樣品與極性分子之間的協同作用,因此乳化性能更好。
圖7各樣品的乳化時間變化圖
3結論
(1)以碳鏈數8/10、12/14的烷基糖苷(APG0810/APG1214)為原料,通過與環氧丙烷反應得到聚醚產物,并通過TOF質譜進行結構表征,結果表明PO基團成功引入烷基糖苷中。
(2)PO基團的引入使APG表面活性劑的性質發生了很大變化,分子的空間位阻增加,被吸附分子在氣/液界面所占的面積增大,因此Гm隨之降低,并且隨著PO基團的增加降低得更加明顯。
(3)PO基團的引入有效降低了APG產品的泡沫性能,與此同時樣品保持了較好的乳化和潤濕性能。產品更適用于需要低泡要求的工業、民用等領域,能夠起到良好的節水節能效果。





